溫州旭盛機械工貿有限公司歡迎你!
Facebook Youtube Twitter
Chat
+86 15280043881 jiong@xushengvalve.com 0086 0577 88178326
  • 首頁
  • 產品展示
  • 關於我們
  • 新聞動態
  • 聯係我們
  • 信息反饋
  • 在線留言
  • 在線詢價
  • 聯係我們
    劉經理

    劉經理

    銷售經理

    訂閱免費通訊以獲取最新產品和資訊信息.

      氣動調節閥的工作原理及計算選型

      2022-03-06 12:54:20   點擊量: 
      氣動調節閥的工作原理
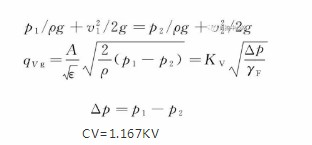
      調節閥同孔板一樣,是局部阻力元件。與孔板不同的是,調節閥的節流麵積可以由閥芯的挪移來改變,是可變的節流元件。因此,可以將調節閥模仿成孔板節流形式。對於不可壓縮流體,根據伯努利方程,調節閥的流量方程式為

      式中,v1,v2——節流前後流體速度;p1,p2——節流前後流體壓力;A——節流管件截麵積;qVg——體積流量;ε——阻力係數;g——重力加速度;ρ——流體密度;γF——重度;KV,CV——流量係數,海內普通用KV表示,國際上用CV表示。
      調節閥由執行機構和閥門兩部分組成,本文以氣動調節閥為例,按其執機構形式可分為薄膜式調節閥、活塞式調節閥和長行程調節閥;按閥體結構形式可分為單座閥、雙座閥、角閥、三通閥、偏心旋轉閥、蝶閥、球閥、快速切斷閥等。
      氣動調節閥原理
      2 氣動調節閥的計算選型
      2.1 初選閥型
      閥型選擇重要且複雜,初選閥型主要包括計算流量係數、預估噪聲等,初步選擇閥體結構型式。若計算不符合要求,還應重新選閥型,並重複計算,直至滿意要求。
      2.1.1 確定工藝條件
      調節閥的選型首先要確定使用條件,包括介質性質及主要物化參數,流量、壓力、溫度等工藝參數,配管情況(型式、閥前後管徑、係統阻力計算等),自控對象類型及特點,調節性能要求等,初選閥型的特點及適用場合可參考表1所列內容。
      初選閥型的特點及適用場合
      單座閥(VP,JP):泄漏量小,允許壓差小,JP型閥具有體積小、質量輕等特點。適用於普通流體,要求泄漏量小或切斷場合;
      雙座閥(VN):不平衡力小,允許壓差較單座閥大;流路複雜,流量係數比VP型閥大;泄漏量大;適用於壓差較大,對泄漏量要求不嚴的普通流體;
      套筒閥(VM,JM):穩定性好,允許壓差較大,易維護;適用於普通流體;
      角形閥(VS):流路簡樸,便於自淨和清洗;適用於高黏度、含顆粒等的介質,特殊適用於要求直角連接場合偏心旋轉閥;
      偏心旋轉閥(VZ)體積小、質量輕、密封性強;適用於泄漏量小,允許壓差較大場合;
      蝶閥(vw):結構緊湊、質量輕、流量係數大、價格低;適用於大流量、低壓力、泄漏量要求不高的場合,尤其適用於濃濁漿狀及含懸浮顆粒的流體控製;
      球閥(VP,JP)結構緊湊、質量輕、流量係數大、密封性好;適用於要求切斷及紙漿、汙水和含有纖維質、顆粒物等介質控製。
      2.1.2 調節閥閥型初選
      根據2.1.1條中選定的閥型,確定調節閥流向及流量特性,見表2所列,查詢產品說明書或有關資料,查取所需的管徑、壓力等級等參數及閥特性參數,如液體壓力恢複係數FL,壓差比係數XT等。不同廠家對調節閥FL,XT的取值略有差別,可參考《調節閥口徑計算指南》[1]和廠家樣本確定的FL和XT取值。
      作者:   來源:
    熱門新聞
    信息反饋
    信息反饋
    Copyright © 2019-2020 xushengvalves.com, All Rights Reserved   wz1050998343434